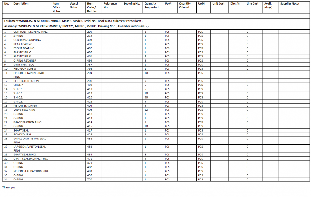
询价船舶备件—系泊绞车配件(CK-H20231114-12)询价申慧敏11月14日 09:42更新81 FC8A4E67-44E7-4F76-A10E-66733424803B.pdf 下载 pdf文件 206.4K 泰州昌宽科技船务服务船用设备船舶配件 温馨提示:该询价订单具有时效性,询价发布2天内报价有效,若有疑问或其他问题,请在下方留言或联系客服。
请登录后查看报价内容